热门关键词: 上海龙跃 厦门致微 北京普析 乐鱼买球·(中国)官方网站代理公司 美国hach hach 哈希 乐鱼买球·(中国)官方网站
SOLUTION
解决方案
NEWS
行业资讯
凯氏定氮法测定饲料中蛋白质含量
乐鱼买球·(中国)官方网站
18663999912
仪器与试剂仪器
K1160 全自动凯氏定氮仪,SH420F 石墨消解仪
试剂
硫酸滴定液c(H+)=0.1mol /L、2%硼酸溶液:质量分数、40%氢氧化钠溶液、溴甲酚绿-甲基红混合指示剂、催化剂片等。
实验方法样品制备
取样品适量用粉碎机打碎且混合均匀。
实验过程
称取制备好的样品约0.2-0.5g(精确至0.1mg),用称量纸包好后一并投入消化管中,加一片催化剂片(或者3g硫酸钾、0.2g硫酸铜),加入10mL浓硫酸。
利用石墨消解炉进行消解,将消化管放在石墨炉上,盖上排气罩,连接废气吸收系统,
设定消解温度参数如下表:
| 温度(℃) | 时间(min) | |
| 1 | 200 | 15 |
| 2 | 420 | 90-120 |
消化完毕后,将消化管取下冷却。待消化管内溶液冷却至室温后,将消化管放置于定氮仪上,开始蒸馏滴定。定氮仪设置程序如下:
| 硼酸 | 稀释水 | 碱液 | 蒸馏量 | 蒸汽流量 |
| 25ml | 20ml | 40ml | 300s | 100% |
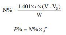
实验结果仪器自动滴定并计算,计算公式如下。
式中:c-标准酸摩尔浓度(mol/L)
W-样品质量(g)
V0-空白样滴定标准酸消耗量(mL)
V-样品滴定标准酸消耗量(mL),精确到小数点后四位
f-蛋白质系数
①红鱼粉(蛋白转换系数6.25)
ONLINE MESSAGE
给乐鱼买球·(中国)官方网站留言 获取实验室整体解决方案
咨询服务热线
18663999912
微信号码
186 6399 9912
乐鱼买球·(中国)官方网站邮箱
qdyjh1977@126.com
电话:18663999912
QQ :116623214
微信:186 6399 9912
邮箱:qdyjh1977@126.com
地址:青岛市李沧区青山路716号海尔鼎世华府B区
扫一扫
快速咨询实验室整体解决方案
在线
客服
服务时间:9:00~16:00

客服
热线
18663999912
关注
微信
关注我们
返回
顶部